Тестовое задание
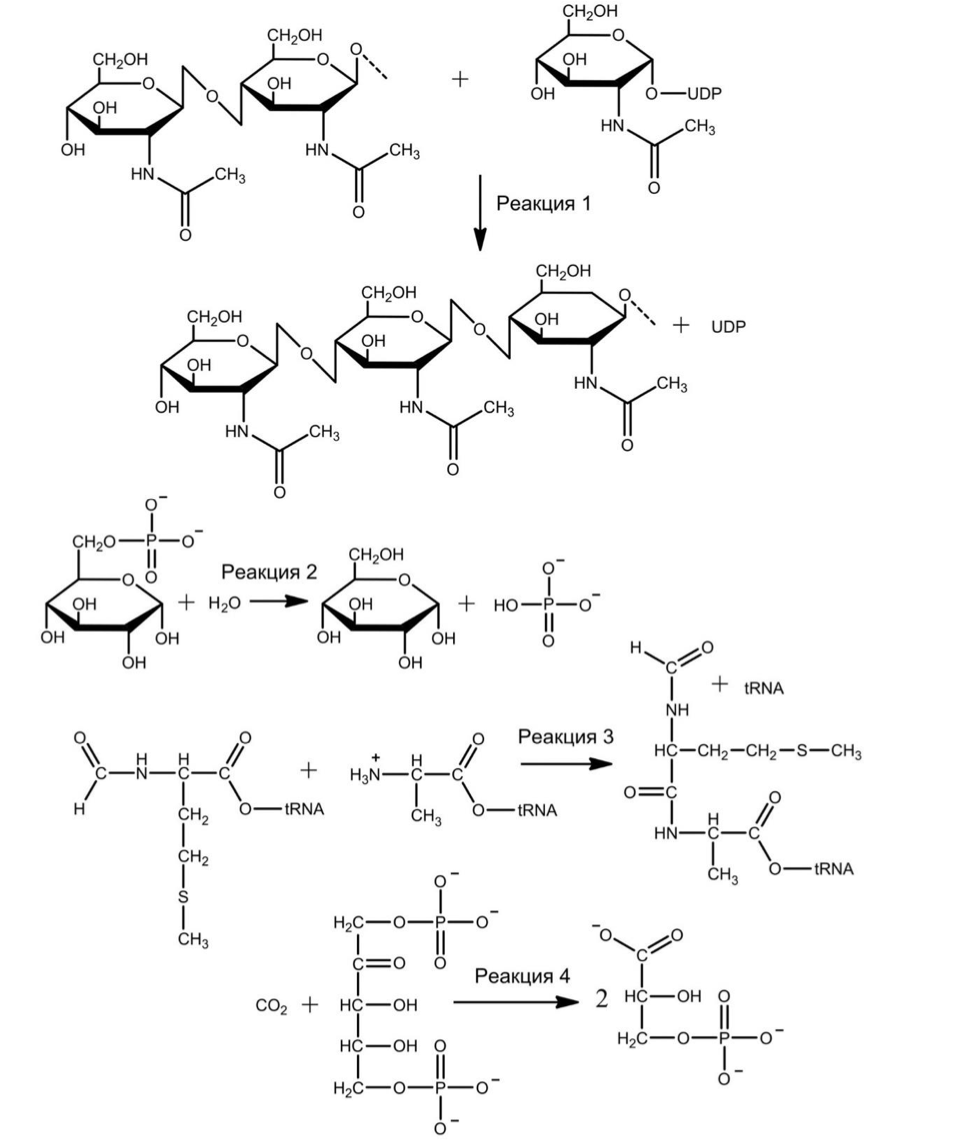
Многообразие организмов, обитающих на нашей планете, обеспечивается огромным количеством химических реакций, которые лежат в основе их метаболизма. На рисунке представлены четыре реакции, катализируемые ферментами.
Внимательно рассмотрите рисунок, после чего выберите верное утверждение:
