Логотип Солвхаб

Тестовое задание

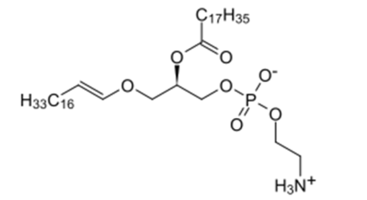
На рисунке изображена формула «необычного» липида, присутствующего в мембранах многих тканей организма человека. От обычных мембранных липидов человека его отличает:

ИИ Помощник
Требуется авторизацияВойдите на сервис, чтобы получить доступ к ИИ ассистенту