Биология
Войти
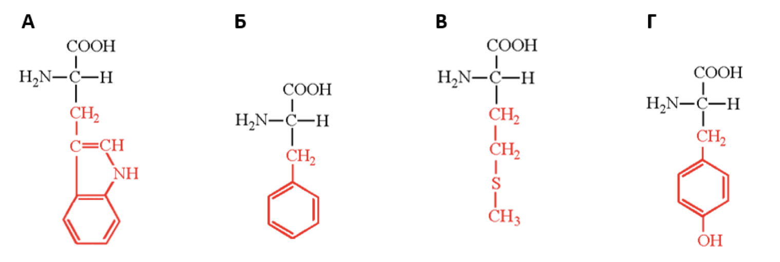
Какая из представленных аминокислот является для взрослого...
⇠ База задач
/
Тестовое задание
Биохимия
Какая из представленных аминокислот является для взрослого человека заменимой?
Ответ
Автор
Источник
ИИ Помощник
Требуется авторизация
Войдите на сервис, чтобы получить доступ к ИИ ассистенту
Войти