Тестовое задание
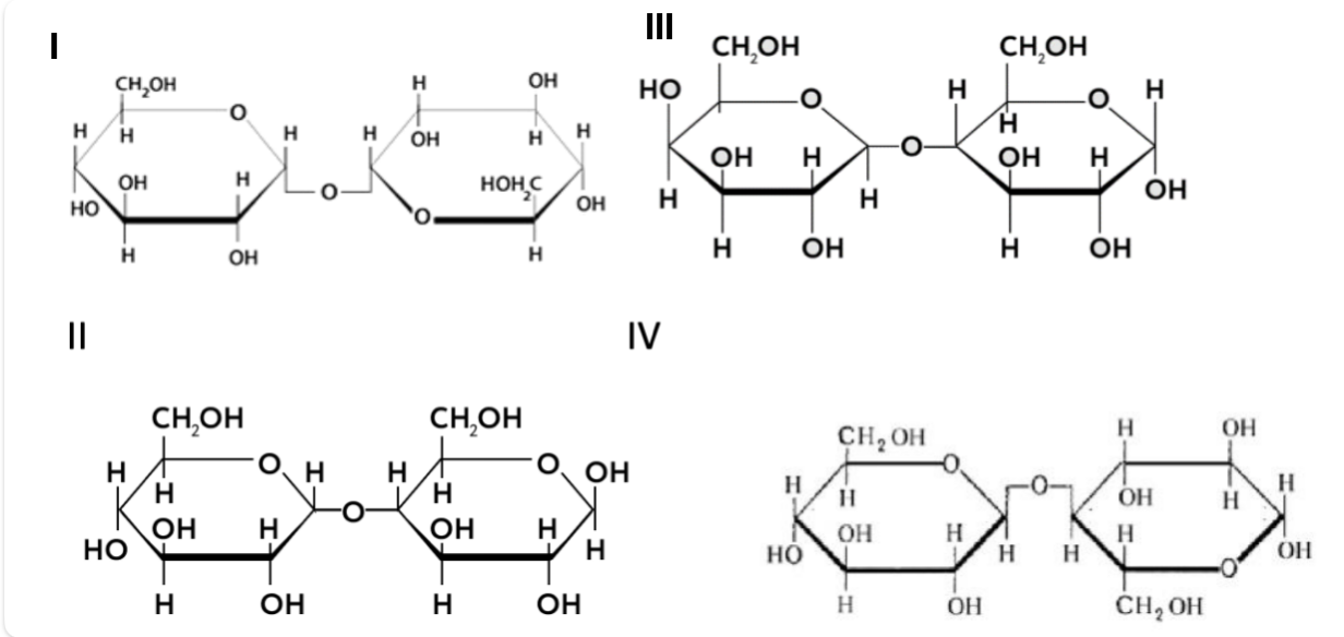
Углеводы (сахара) по химической природе представляют собой альдегидоспирты или кетоспирты. Свободные карбонильные группы (С=О) углеводов обладают редуцирующей (восстанавливающей) активностью, то есть способностью восстанавливать, например, двухвалентные катионы до одновалентных (Сu 2+ до Cu+ ), на чем основаны некоторые качественные реакции на редуцирующие сахара. На рисунках показаны формулы четырех распространенных дисахаридов. Какой из них НЕ является редуцирующим сахаром?
