Тестовое задание
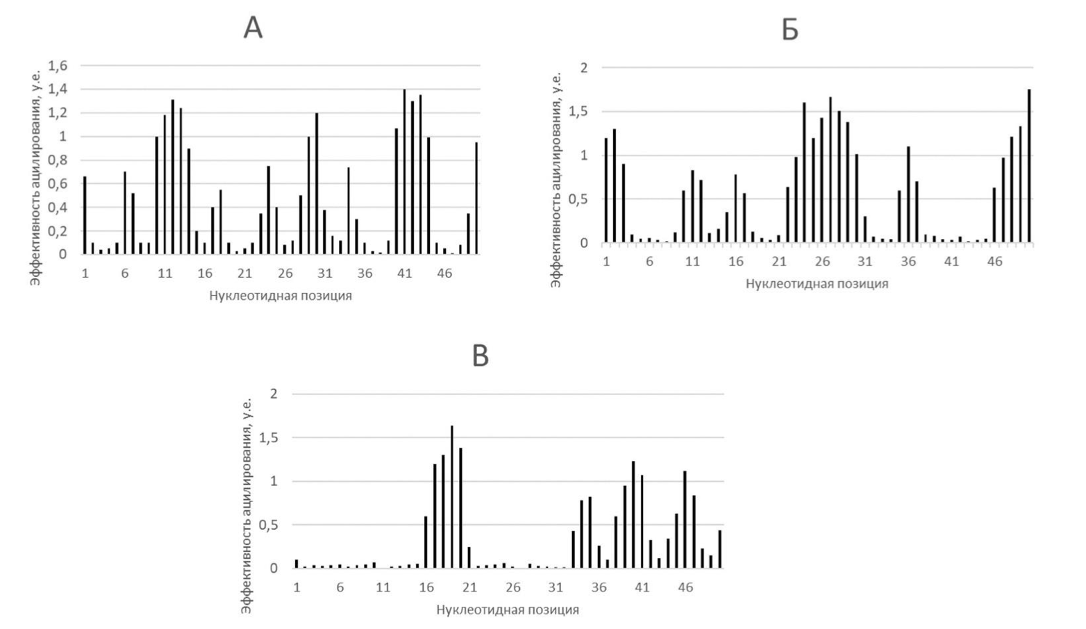
Для анализа структуры молекул РНК используется метод SHAPE (от английского, Selective 2'-hydroxyl acylation analyzed by primer extension – селективное ацилирование 2'-гидроксила, анализируемое по удлинению праймера). Суть этого метода состоит в следующем. Молекулу РНК обрабатывают 1-метил-7-нитроизатоевым ангидридом, который ацилирует 2'-гидроксильную группу рибозы у нуклеотидных остатков, которые не образуют комплементарных взаимодействий в структуре данной молекулы РНК. Далее такую модифицированную молекулу РНК добавляют в реакцию обратной транскрипции с праймером, специфичным к 3'-концу исследуемой молекулы РНК. Ацилирование снижает эффективность прохождения обратной транскриптазы через модифицированные нуклеотиды. Далее продукты реакции обратной транскрипции анализируют путем количественного электрофореза в полиакриламидном геле с высокой разрешающей способностью. Соответственно, такая методика позволяет определить эффективность ацилирования разных нуклеотидов в составе молекулы РНК, а значит и оценить способность этих нуклеотидов формировать комплементарные взаимодействия в структуре этой молекулы РНК. На графиках А-В показаны профили ацилирования для трех различных молекул РНК длиной 50 нуклеотидов. Такие профили позволяют понять эффективность ацилирования (выраженную в условных единицах) для каждого нуклеотида в составе молекулы РНК. Ниже показаны вторичные структуры нескольких разных молекул РНК.

У каждой из этих молекул РНК на 3'-конце есть также последовательность для отжига праймера для обратной транскрипции, однако для простоты эти участки не показаны:

Укажите верные утверждения: