Биология
Войти
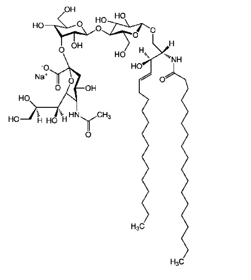
Представленная на рисунке молекула
⇠ База задач
/
Тестовое задание
Биохимия
Представленная на рисунке молекула
Ответ
Автор
Источник
ИИ Помощник
Требуется авторизация
Войдите на сервис, чтобы получить доступ к ИИ ассистенту
Войти